Qualité nutritive des blés et travail du sol

Veiller à la santé des sols par la réduction du brassage de terre et les apports organiques a prouvé son intérêt agronomique, mais est-ce que cela a un impact sur la qualité nutritive des blés moissonnés ?
Une baisse de la qualité nutritionnelle du blé depuis 160 ans
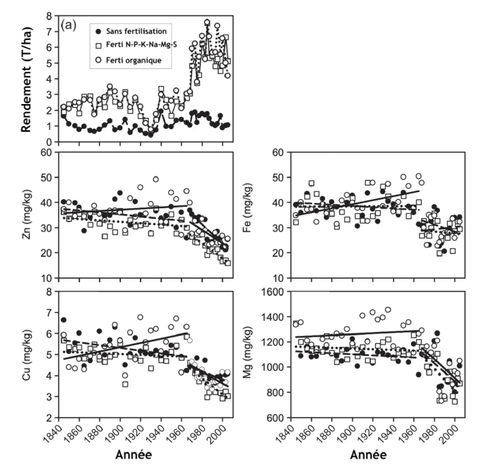
Les essais de longue durée de Broadbalk, en Angleterre (Rothamsted, depuis 1843), ont permis d’analyser l’évolution de la concentration en minéraux du blé au fil du temps.
Sur ces parcelles au sol travaillé de manière classique, les analyses montrent que les teneurs en zinc, fer, cuivre et magnésium sont restées stables jusqu’au milieu des années 1960, avant de chuter significativement. Cette baisse coïncide avec l’introduction de variétés semi-naines à haut rendement, sélectionnées pour leur faible hauteur de paille afin de limiter la verse et augmenter les rendements.

Ce phénomène s’explique principalement par un effet de dilution : plus le rendement est élevé, plus les minéraux sont dilués dans une masse de grain accrue, sans que la plante n’absorbe davantage de nutriments.
Une baisse sans appauvrissement du sol
Contrairement à ce que l’on pourrait penser, la baisse de concentration minérale dans le grain ne provient pas d’un appauvrissement des sols. Les concentrations de minéraux dans les sols sont restées stables, voire en augmentation, grâce aux apports réguliers en engrais minéraux, matières organiques ou dépôts atmosphériques. Les effets observés sont similaires, quel que soit le type de fertilisation (minérale, organique ou absence de fertilisation).
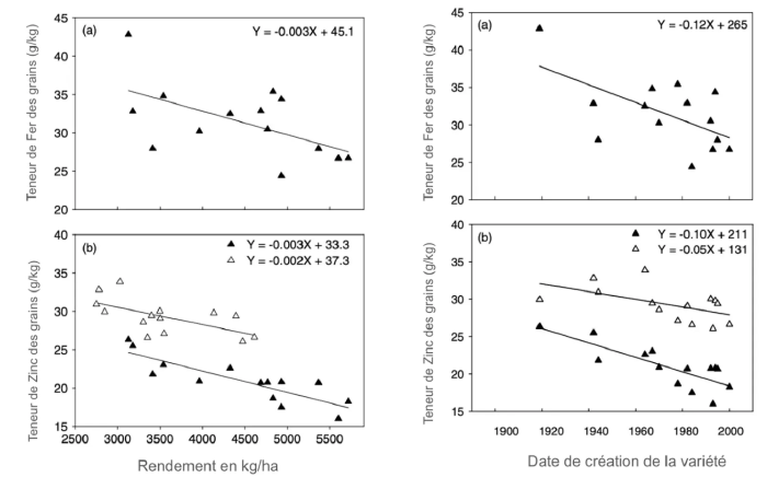
L’analyse statistique confirme que ce sont bien des facteurs liés à la plante – principalement l’augmentation des rendements grâce à l’innovation variétale – qui expliquent la baisse de concentration en minéraux dans les grains[1].

Ces résultats rejoignent ceux d’autres études, notamment américaines (Garvin et al., 2006) ou chinoises (Xia et al., 2023[2]), montrant que les variétés les plus récentes, souvent plus productives, présentent des teneurs plus faibles en micronutriments par effet de dilution.
Travail du sol, semis direct et qualité nutritionnelle
Les pratiques culturales influencent également la qualité nutritionnelle, en particulier lorsqu’elles modifient la biologie des sols. Par exemple, la mycorhization joue un rôle essentiel dans l’absorption du zinc. Les rotations intégrant des légumineuses, en remplacement d’une jachère, améliorent globalement les teneurs en protéines et en zinc des grains. Les systèmes diversifiés et pérennes favorisent aussi une meilleure santé des sols, ce qui peut se traduire par une meilleure qualité nutritionnelle du blé (Soil Health Institute, 2022[3]).
Un point émergent est celui de l’ergothionéine (ERGO), un antioxydant produit par des champignons du sol et transmis aux plantes via les mycorhizes. Cet anti oxydant est utile en santé humaine car il réduit le risque inflammatoire, baisse le risque cardio-vasculaire, ainsi que le vieillissement cérébral. Une étude conduite sur un essai de longue durée (>40 ans) a montré que le labour intensif réduit de moitié la teneur en ERGO dans le grain de blé, tandis que le semis direct favorise à la fois la mycorhization et l’enrichissement du grain en ERGO, ainsi qu’en P, Mg, Cu et Zn.
Cependant, l’impact du travail réduit du sol sur la qualité nutritionnelle des cultures reste globalement limité. Une autre étude sur un essai comparatif (Pearsons et al., 2022[4]) a montré que le type de système de cultures (conventionnel ou biologique, avec ou sans fumure) avait plus d’impact sur la qualité des grains que le type de travail du sol. Dans cette étude, le travail du sol réduit était sans effet significatif sur la teneur en protéines ou minéraux.
Enfin, une comparaison récente menée dans le Grand Ouest sur 20 paires de parcelles (semis direct en agriculture de conservation des sols depuis 10 ans vs conventionnel, variétés égales) a confirmé ces observations : peu de différences sur la plupart des minéraux, mais une hausse significative du phosphore, du potassium et de l’ergothionéine dans les systèmes ACS (Lefèvre et al., 2024[5]).

Conclusion
- La baisse de concentration en minéraux dans le blé est avant tout liée à l’augmentation des rendements, par dilution, et non à un appauvrissement des sols.
- La fertilisation, qu’elle soit minérale ou organique, n’a pas permis d’enrayer cette tendance.
- Les systèmes favorisant la mycorhization (semis direct, rotations avec légumineuses) montrent un potentiel pour améliorer certains nutriments, dont l’ergothionéine.
- Le type de système de cultures influence davantage la qualité nutritionnelle que le mode de travail du sol à lui seul.
Sources
- ↑ Historical shifts in the seed mineral micronutrient concentration of US hard red winter wheat germplasmhttps://scijournals.onlinelibrary.wiley.com/doi/abs/10.1002/jsfa.2601
- ↑ Dissecting the relationship between yield and mineral nutriome of wheat grains in double cropping as affected by preceding crops and nitrogen application https://www.sciencedirect.com/science/article/abs/pii/S0378429023000382
- ↑ Exploring the Relationship Between Soil Health and Food Nutritional Quality https://soilhealthinstitute.org/app/uploads/2022/02/SHI-Food-Nutritional-Study-2022.pdf
- ↑ Reducing Tillage Affects Long-Term Yields but Not Grain Quality of Maize, Soybeans, Oats, and Wheat Produced in Three Contrasting Farming Systems https://www.mdpi.com/2071-1050/14/2/631
- ↑ Agroecological drivers connecting soil management practices, soil health, plant health and nutritional and sanitary qualities of grain yield : the case of soft winter wheat to illustrate the “One Health” approach https://theses.hal.science/tel-04959160/